Time:2022-10-12 Click:443
最近跨链龙头阿童木Cosmos(ATOM)公布了它新的白皮书,这就意味着ATOM2.0时代即将来临。前段时间阿童木表现那么好,就是因为它有了新的价值捕获以及对它未来的期望。以前大家经常吐槽阿童木“没有什么用”,这份白皮书对此做了一些改进,让它变得“有用”。
阿童木核心开发成员 Zaki在26日的Cosmoverse 大会提到,今天的 ATOM 是 Cosmos 生态系统中的 MEME,它可以做到更多,它的新角色是「发展有弹性的跨链经济」。
下面简单描述一下这次新的白皮书主要改动的地方。

第一点
我们知道,Cosmos Hub是阿童木生态系统的核心,连接所有的区块链,ATOM 是保护 Cosmos Hub 的代币。其他链无需接触Hub 即可使用 Cosmos SDK,而其他基于SDK开发的链的网络安全也无需阿童木网络提供保证,也就是说原本的ATOM没有任何“利用价值”。但是,新的白皮书内容提到,其他链将能够使用 Cosmos Hub 来保护自己的网络,这个机制跟波卡(DOT)有点相似。
第二点
nterChain Scheduler(链间调度器)和InterChain Allocator(链间分配器)。InterChain Scheduler是一个跨链区块空间市场,它从跨链的MEV中产生收入。这些收入被InterChain Allocator用来将新的Cosmos链资本化,用于推动生态中有前途的新项目和生态的长期发展,而新项目的出现又会推动更多收入的分配。而Hub在这里角色是,通过创建区块空间市场并收取匹配费用可以从跨链活动中获得收入(当前Hub没有任何收入)。

第三点
Cosmos Hub 将很快支持流动性质押功能,从而提高 ATOM 的流动性,意图扮演阿童木生态的首选抵押品的角色。而且这些流动性质押者将保护阿童木网络。

第四点
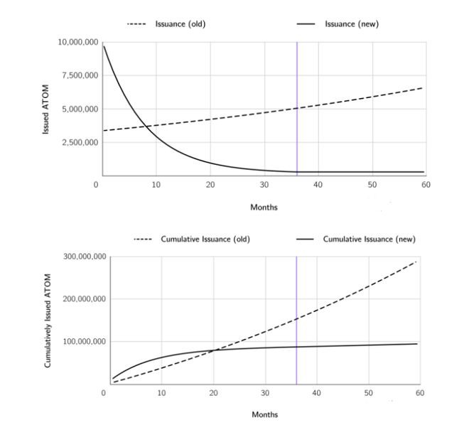
新的代币政策,分为2个阶段:过渡期和稳定期
过渡期持续 36 个月,前 9 个月的发行量暂时增加,为新的 Cosmos Hub 财政部提供初始资金。随后发行量开始减少,利用累积通胀(Cumulative inflation)为 Hub 创造出一个新的金库。
在过渡阶段开始时,每月发行 1000万枚 ATOM,大约是 40% 的年化通胀率,这是什么概念?当前POS ETH的年通胀率应该是2%左右,所以你懂的。但每个月都会减少,最终在稳定期是每月 30 万枚 ATOM,大约是 1% 的年化通货膨胀率。当质押率低于特定值时,ATOM 会恢复原来的货币政策以确保安全。
用人话来讲就是,前期ATOM的供应速度增加,将会二级市场造成抛压。但从长期来看,总的供应量会比原先的供应量要少一半以上,后期勃发。

第五点
费用问题。跨链安全能为 ATOM 质押者带来更多费用收益。由 Hub 保证的链则将有一个全域费用模块和一个 ATOM 地板费。费用将以其他 Token 收取,Hub 可能会在分发前转换为其他目标 Token、ATOM 或稳定币,反正到时再看。
第六点
下面这张图是阿童木网络的关系图,上面内容已经明细化了。其他的我觉得不是很重要了,自己看看白皮书吧: https://gateway.pinata.cloud/ipfs/QmWXkzM74FCiERdZ1WrU33cqdStUK9dz1A8oEvYcnBAHeo

总结:这次改动的最大亮点就是ATOM的价值捕获方面,但是并不能支撑它短期价格继续往上涨,因为上涨的动力来源于它生态是否足够繁荣,这是短期不能实现的,而是长期建设的过程。当前币价下跌,主要还是因为ATOM供应量增加引起市场的恐慌。
在加密行业你想抓住下一波牛市机会你得有一个优质圈子,大家就能抱团取暖,保持洞察力。如果只是你一个人,四顾茫然,发现一个人都没有,想在这个行业里面坚持下来其实是很难的。
想抱团取暖,或者有疑惑的,欢迎加入我们——公众号:币然之路
感谢阅读,我们下期再见!