Time:2022-12-20 Click:265
作者:Blockkin.ai、NFTin.ai
一、研究 NFT 短期套利者的意义
套利交易者是在一个市场上购买资产,然后以更高的价格在另一个市场上出售--利用两个市场上的价格差异。通常,这是针对高资产流动性资产(例如股票或加密货币)进行的,这些资产可以同时进行交易。
当 NFT 交易者利用两个市场之间的价格差异在一个市场上购买商品并在另一个市场上以更高的价格出售时,就会发生套利。交易可能同时完成,也可能隔一段周期发生。NFT 市场短期套利行为是层出不穷的。NFT 套利的挑战在于市场缺乏流动性,购买一个 NFT,可能需要数天或者周才能出售。这意味着套利者可能知道他们在一个市场以更便宜的价格购买 NFT,然后在另一个市场以更高的价格出售——但不知道 NFT 是否可以真的出售,使得套利操作是一个具有一定风险的行为。
因此,研究 NFT 短期套利交易的形成,弄清 NFT 市场套利交易模式和传导机制,可为短期交易者提供交易引导和买卖价格牵引意见,帮助其了解 NFT 市场风险,具有比较重要的现实意义。为使本文研究具有一定价值性,选取 6 个代表性的蓝筹项目交易进行分析(“Bored-Ape-Yacht-Club”,“CryptoPunks”,“Doodles”,“Mutant-Ape-Yacht-Club”,“Cool-Cats-NFT”,“Bored-Ape-Kennel-Club”)。
本文的主要内容如下:
1.通过追踪频繁交易的 holders 地址,验证 NFT 市场短期套利行为普遍存在性;
2. Collection 层面出发,统计观察不同 holders 在 6 个蓝筹项目不同时间维度内购买和出售 NFT 的盈利情况,来说明 NFT 市场交易者的买卖习惯及不同周期交易的盈利情况;
3.从大批 NFT 短期套利者地址中,选取几个具有“代表性的”短期套利地址,在一定时间周期内,记录每一笔买卖操作,包含具体买卖时间间隔、每次买卖收益及买卖胜率情况。结合微观和宏观市场指标对其具体的套利行为进行分析,给出 holders 如何在 NFT 市场进行短期套利的一些建议和意见;
4.结合NFTin.ai开发设计的折扣率(discount rate)指标,针对 holders 买卖操作给出具体的价格牵引方案和交易思路,使短期交易者实现交易利润最大化。
二、NFT 短期套利普遍存在性分析
为观察 NFT 买卖者的短期交易习惯(即每次买卖相同 NFT 的间隔时间),我们统计了 6 个蓝筹项目买卖同一个 token_id 的 NFT 在不同时间周期内( 1 day, 3day, 5 day, 7 day, 15 day, 30 day),由同一个地址买卖获利的收益率及这些地址在所有交易地址的数目及占比情况。其中对于同一个 token_id 的 NFT 买入卖出的的收益率(profit-rate)公式如下:

项目发行刚开始一段时间内交易存在不稳定。因此,我们剔除了 6 个蓝筹的前一个月交易记录,结束时间选为 2022/11/22 。其中 CryptoPunks 项目发行于 2017 年,比较久远,不具研究意义,我们仅取 CryptoPunks 2022/1/1 ~ 2022/11/22 时间周期内的交易数据进行分析。需指出的是,我们仅列出了 6 个蓝筹项目买卖时间间隔 1 day 内同一个地址买卖获利的收益率情况(剔除了较大 Profit-Rate 的值)。如图 1 所示。
由图 1 可看出在 1 day 时间范围内进行买卖换手的交易中, 6 个蓝筹项目的买卖收益率大多在 5% ~ 20% 之间,可见大多数 holders 在一天内换手交易是赚钱的,且可观。其中,对于 Bored-Ape-Yacht-Club(BAYC),大约有 220 个地址 1 day 内买卖换手收益率达到 10% ~ 15% ,对于不同的 Collection, 1 day 内同一地址进行买卖,收益率为负的地址数较少。单个 Collection 来看,例如 Cool-Cats-NFT,收益率为负的地址仅为 140 个,占 1 day 内买卖交易同一地址总数( 862 个)的 16.24% , 1 day 亏钱的买卖交易地址仅占一小部分。
图 2 展示了不同时间周期内,买卖换手不同 Collection 的地址总数量及占所有交易时期地址数量的比率(统计时均已去重)。图 2 中每幅图的左边为买卖交易地址数目统计,右边为地址数目占比率统计。Mutant-Ape-Yacht-Club 所包含 item 的达到 19426 个,其他 5 个蓝筹项目的 item 大致相同,大约为 10000 个,总体看,在 1 day 内进行买卖的地址数量占比率在 6% ~ 11% 范围,3day 内进行买卖的地址数量占比率在 10% ~ 17% 范围,随着时间周期的增加,每个 Collection 进行买卖的同一地址数目占比率都有所增加,Bored-Ape-Kennel-Club 的地址占比率增长幅度是最快的。每增加一个时间维度,其占比率增加 6.5 个点,考虑其拥有 item 最多,表明此项目有着较好的市场流动率和换手率,进行短期交易行为的 holders 在此项目尤为明显,每一个周期横向对比其地址占比率都高于其他 Collection,例如在 7 天进行换手交易的地址占比率为 17.8% ,地址数为高达 2244 个。
通过以上分析知,不同 Collection 中 holders 短期交易行是普遍存在的,短期交易可带来可观的收益。


三、Collection 层 holders 买卖交易分析
上一部分我们通过交易数据分析证明了短期交易行为在 NFT 市场是普遍存在的。因此,在这一部分我们将进一步具体分析 holders 短期交易行为和买卖收益情况。
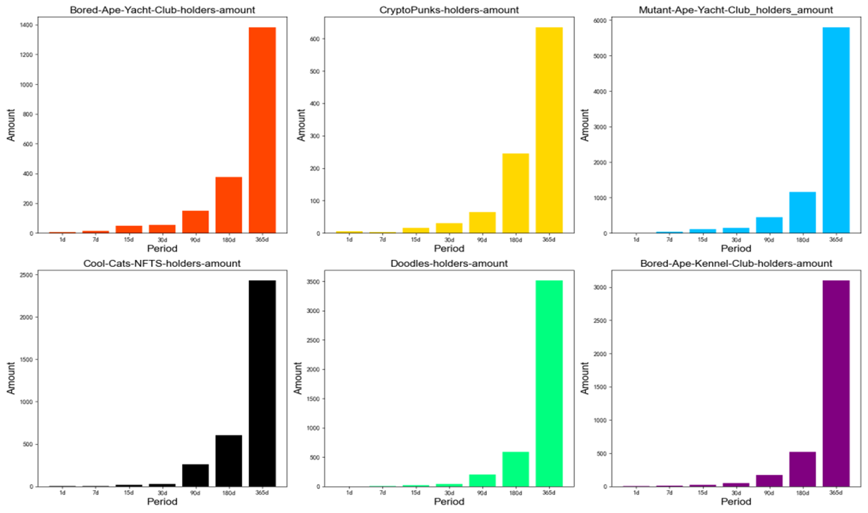
观测时间为 2022/11/22 ,我们选取距观测时间为 1 day、 7 day、 15 day、 30 day、 90 day、 180 day、 365 day 共 7 个时间维度,来分析 holders 在 6 个蓝筹项目上的数目统计和买卖损益情况。
6 个蓝筹项目 holders 数目统计如图 3 所示,需注意的是,我们统计的是在不同周期既有买(buy)又有卖(sell)动作的 holders。随着时间维度的增加,不同 Collection 的 holders 数目也不同程度增长,不同 Collection 相同周期的 holders 数目存在较大差异。在距观测时间近 7 天时间内,BAYC 活跃的 holders 数达到了 49 个,相较于 3 天的活跃地址数目,增长了 2.26 倍,增长倍数都要高于其他 Collectionholders 增长倍数,表明在最近 7 天内,BAYC 交易买卖频繁,如图 4 所示。(关注 NFTin.ai 官网,网址链接如下https://www.nftin.ai/ethereum/collection/boredapeyachtclub/activity),这可能与 BAYC 地板价疯狂下跌,BAYC 的 holders 想出售来套现有关,如图 5 所示。网址链接为(https://www.nftin.ai/ethereum/collection/boredapeyachtclub/overview), 2022/11/15 日 BAYC 的平均成交价是近 7 日最低,为 57.61 ETH。交易数量和交易金额为近 7 日最高,分别为 49 个和 2822.94 ETH。
Mutant-Ape-Yacht-Club 中 holders 除了近 1 day 的维度,其余时间维度的数量都远远多于另 5 个 Collection 的 holders 数量。近一年活跃的 holders 地址数目达到了 5803 个,一方面是因为该项目的 item 数量( 19432 个)远多于其他项目;另一方面是因为 Mutant-Ape-Yacht-Club 短期抛售收益率较高(第一部分数据分析显示 1 day 内买卖换手平均收益率达到了 17% ),其地板价处于中等水平,利于 holders 进行交易并获取最大收益,更受 holders 喜爱。有趣的一点是在最近 1 day 的维度范围,仅 BAYC,CryptoPunks 两个蓝筹项目有超过 1 个 holders 有买卖交易活动,holders 活跃的地址数目为 5 个,侧面反映了这两个蓝筹项目的处于 NFT 市场“领军”定位。



我们同样绘制了 6 个蓝筹项目不同时间维度收益大于零的 holders 占比情况,如图 6 所示。收益(pnl)的定义为某个 holders 某一周期出售此类 Collection 得到的报酬(revenue)减去购买此类 Collection 花费(spent)的差值(均以 ETH 计价)。
具体公式如下:

总的来看,除近 1 day 外,绝大多数时间维度范围内,holders 的 pnl 为正的数目占有交易 holders 的占比率都几乎大于 50% ,说明大多数 holders 在不同时间维度买卖这些蓝筹项目都是赚钱的,大部分 holders 都是“聪明的”,能在复杂的 NFT 市场买卖交易获取正向收益。在 BAYC 中,近 7 日买卖赚钱的 holders 的占比率高达 66.7% ,这说明在 7 天这个周期进行买卖交易 BAYC 是有很大概率赚钱的。我们同样发现随着时间维度的增加,不同 Collection 中 pnl 为正 holders 的占比率并不是线性增长的,几乎在近 7 day, 15 day 这两个时间维度,holders 的 pnl 为正的占比率达到最高值。例如 Mutant-Ape-Yacht-Club 和 Bored-Ape-Kennel-Club 的 pnl 为正的 holders 占比率最高的值都出现在近 15 天,分别为 56.48% 和 65.38% 。统计结果表明,在 7 day, 15 day 这两个周期进行交易操作,holders 更容易易赚钱,这两个时间周期更适合短期交易买卖。
通过上述分析,我们可得出:在 NFT 市场不同的 holders 有自己的交易习惯(不同时间维度进行买卖),每个周期内不同 Collection 的活跃的 holders 数量有所差异,短时间内进行交易买卖是有利可图的,其中在 7 day, 15 day 这两个时间周期进行交易买卖最易实现收益正向。

四、holders 层面交易分析
如何定义短期套利者?我们对短期套利者的定义如下:某个 holder 某个周期频繁买卖 NFT 操作,且其购买和出售的次数加起来要大于 10 次。
在以上定义的基础上,我们找到了几个短期套利者地址,来分析他们在某个 Collection 的具体买卖操作和收益、胜率情况。
( 1) *Holders Address: 0x8ad52c3 ab 4233341 f 7 a 5 b 25 dd 0 ebc 4 dcc 26 c 53 ee
*Collection Name:Doodles
* 30 days Pnl: 51.62 ETH
*Doodles Amount: 13
* 30 days Total Transactions Number : 40
该地址买卖 Doodles 近一个月的的持有数量和 pnl 如上所示。图 7 展示了此地址所有时期买卖 Doodles 的 pnl。在 2022/10 ~ 202211/22 这个时间段,该地址持有 Doodles 数量多达 14 个,如图 8 所示。买卖交易 Doodles 的 pnl 收益高达 51.62 ETH,一个月内买卖 Dooldes 的次数多达 40 次,符合短期套利者的定义。
图 9 展示了该地址在一个月内买卖同一 token_id 的 Doodles 具体花费、交易时间及每一笔买卖的 pnl 情况,可看出该地址一个月内频繁买卖相同的 Doodles(买卖相同 token_id 的次数多达 9 次),虽胜率达到了 56% (胜率定义为买卖赚钱次数占总买卖次数的比率),总的 pnl 却为负,为-4.68 ETH,近一个月内短期套利却处于亏损状态。
其亏损最大的一笔买卖交易是在 2022/10/10 买入 token_id 为 992 的 Doodles,买入的价格为 9 个 ETH,卖出的价格为 6.55 个 ETH,亏损达到 2.45 个 ETH;最赚钱的一笔交易是 2022/10/12 10.25 ETH 买入 token_id 为 5359 的 doodles, 2022/10/25 以 12 个 ETH 卖出,Doodles 项目属于 NFT 10 范围(详细定义可关注NFTin.ai官网), 2022/10/12 的 NFT 10 指数为 1541.80 ,ETH 收盘价为 1294.44 $;2022/10/25 日 NFT 10 指数为 1712.18 ,ETH 收盘价为 1459.74 $,如图 10 所示。NFT 10 指数及 ETH 收盘价涨幅分别为 11.05% 和 12.77% ,这期间 NFT 10 指数和 ETH 价格都有大幅度上涨,说明 NFT 宏观市场处于活跃状态,此时抛售 NFT 为一个不错的时机。





( 2) *Holders Address: 0 xed 2 ab 4948 bA 6 A 909 a 7751 DEc 4 F 34 f 303 eB 8 c 7236
*Collection Name:Bored-Ape-Yacht-Club
* 30 days Pnl:-115.16 ETH
*Bored-Ape-Yacht-Club Amount: 9
* 30 days Total Transactions Number : 18
该地址在 Bored-Ape-Yacht-Club 近一个月内买卖 pnl 及买卖次数如上所示,近一个月内买卖交易次数总和为 18 笔,pnl 为-115.16 ETH,一个月交易为亏损状态。该地址持有 12 个 NFT,拥有 3 个不同 Collection,但其交易买卖操作都是在 BAYC 项目,且多为短时间买卖操作,为不折不扣的短期交易者。因为近一个月内 BAYC 的地板价急速下降,该地址购买 BAYC 的笔数要远高于卖出的笔数。
回顾该地址近一个月在 BAYC 项目的买卖操作,买卖交易相同 token_id 的 BAYC 时间与交易金额如图 11 所示,每一笔买卖操作都是盈利的,pnl 都为正,胜率高达 100% ,每一笔买入时间和卖出时间间隔最大不超过四天,是一个十足的“短期投机交易者”。其中,最赚钱的一笔是在 2022/10/31 操作的, 9: 57: 35 买入 token_id 为 9149 的 BAYC, 10: 33: 59 卖出,买入卖出时间间隔仅半小时,赚取了 2.86 个 ETH。一方面可看出 NFT 市场长期看好 BAYC 项目,具有较好的流通性,快速买入卖出不会被定义为恶意操作市场行为;另一方面当天 BAYC 平均成交价为 79.76 ETH,地板价为 69 ETH,如图 12 所示。购买价很接近地板价,成交笔数也远大于前 7 天,平均价远高于近 7 天平均价,当天市场 BAYC 交易情绪高涨,进行此笔买卖时 holders 捕捉到了市场情绪,短期内交易谋取了较为可观的收益。


( 3) *Holders Address: 0 x 300 d 65 b 8 2c39 ca 315 cbd 8 c 26 c 9 e 20 d 2267 f 8 edee
*Collection Name:Bored-ape-kennel-club
* 30 days Pnl: 1.17 ETH
*Bored-ape-kennel-club Amount: 15
* 30 days Total Transaction Number: 28
0 x** 8 edee 近一个交易 Bored-ape-kennel-club 共 28 笔,pnl 为 1.17 ETH,该时间段共持有 15 个 item,图 13 展示了该地址近一个月内买卖同一个 token_id 的 item 的具体情况, 0 x** 8 edee 一个月频繁买卖相同的 item,每次买卖的间隔平均间隔时间不超过一天,符合短期套利的操作习惯,每一买卖交易的平均收益率仅为 2.5% ,是一个仅谋取“极小收益”的套利者。近一个月的总收益仅为 0.88 ETH,胜率为 88.9% 。这种交易习惯在大多数 NFT 短期套利者中很常见,购买 NFT 并不会持有很长时间,在很短时间内便会抛售,他们多选择流通性较强单价适中的 Collection,易转手,方便交易。

https://www.nftin.ai/ethereum/0 xba 30 e 5 f 9 bb 24 caa 003 e 9 f 2 f 0497 ad 287 fdf 95623/548 )

NFTin.ai 12//15 给出的估值
( 4) *Holders Address: 0 x 41963 e 09247348110 f 9 b 25300 b 0 b 6652 f 67 a 4 bee
*Collection Name:Mutant -Ape-Yacht-Clubin
* 30 days Pnl: 5.44 ETH
*Mutant-Ape-Yacht-Club Amount: 13
* 30 days Total Transaction Number: 26
地址近 7 天买卖 Mutant -Ape-Yacht-Club 的 pnl 为 5.44 ETH,交易笔数为 26 笔,卖出的时间都在 12/10 号,且卖出的价格都为 14.3 ETH,是一个批量卖出的操作,且每一笔的买卖都是正向收益的。该地址选择在 12/10 进行卖出操作,如图( 15 所示)是贴近地板价进行操作的,图 16 展示了 Mutant -Ape-Yacht-Club 近 7 天地板价变化情况, 12/10 日的地板价都高于其买入的价格,每一笔买卖都是赚钱的,买卖胜率高达 100% ,这给短期交易者带来的启示是:关注 NFT 地板价变化,选择合适的批量卖出时间,更容易获得正向收益。
从四位 holders 的交易行为比较来看,短时间内高频交易未必能谋取正向收益,买卖时间间隔更短更易获得正向收益,关注 NFT 地板价变化及 NFT 市场宏观动态变化,有助于进行短期交易买卖操作,从而使收益最大化。


五、基于折扣率(discount rate)的买卖交易分析
折扣率(discount rate)(如图 18 所示)是NFTin.ai开发设计旨在帮助用户发现低于其挂单价的最有价值的 NFT(具体页面解释网址如下:https://www.nftin.ai/discount),可为用户买到合适的 NFT 并获取最大收益提供一定思路和引导。
折扣率的定义是 NFT 即时的估值价减去即使的挂单价比上其估值价格(均以 ETH 计价),公式如下:

我们选择了 MAYC 项目近半年( 2022/7 ~ 2022/12)折扣率指标及其具体买卖挂单操作分析 holders 具体盈利情况。如图 17 所示。(注:由于同一笔交易可能有多笔挂单交易我们只研究最低一笔挂单价格和成交价及估值的关系),其中有挂单并最终成交的数目为 180 ,折扣率大于 0 的有挂单且成交的笔数为 49 ,通过统计发现,在总的有成交且挂单的交易中,平均收益(avg_profit)为 3.24 ETH,而折扣率大于零的挂单且成交的交易中的 avg_profit 为 14.21 ETH,远高于总交易的平均收益,为所有有挂单且成交的交易平均收益的 4.38 倍,其中统计正向交易收益率(即收益大于零的交易占总交易的比率) 67.35% 也大于所有交易的正向交易收益率。这极有利的佐证了NFTin.ai设计的折扣率指标在实际交易的有效性和交易指导性。

我们还绘制了折扣率大于零时,折扣率与收益的分布散点图,如图 19 所示(去除收益极大点和折扣率极大点)。由图可看出,折扣率多分布在 0 ~ 10% 之间,此时 avg_profit 为 17.13 ETH,大于 14.21 ETH,为获取更大的收益,MAYC 的 holdes 可选择在其区间进行买卖操作,在 15% ~ 20% 折扣率范围内,holders 的 avg_profit 仅为 5.3 ETH,折扣率大于 20% ,holders 进行交易买卖的收益为负。
通过对 MAYC 项目折扣率及挂单成交数据的分析,对于短期套利者在进行套利操作时可参照NFTin.ai给出的具有正向折扣率的 NFT 进行交易买卖,易获取更高的收益,其中在 0 ~ 10% 折扣率的范围进行交易有着较好的套利收益。

NFTin.ai官网折扣率页面

六、总结
短期套利成功率很大程度取决于机会,由于流动性、市场和项目的周期性炒作,NFT 市场不会处于一个漫长的“冷淡期”,长期以来,短期套利者是有利可图的。对于短期套利者的研究我们的总结如下:
1.NFT 市场的短期买卖行为是普遍存在的,短期交易盈利客观且占据所有交易很大一部分;
2.不同 Collection 的 holders 在不同周期的买卖收益不同,选择合适周期进行短期操作可最大化收益;
3.对于短期套利者来说,相对低频,短时间内交易更易获得更高的收益,在交易的同时需时刻关注 NFT 市场宏观动态变化。
4.对于短期交易者可以关注NFTin.ai官网折扣率指标,发现最有价值的 NFT,为实际交易提供一定参考和思路。