Time:2022-08-07 Click:416
原文作者: State of Stake, Luca Prosperi
原文标题: Rebuilding the Governance Premium
《加密治理第一原则》给我们提供了新的视角思考加密治理。但,这不意味着就只剩下悲观情绪和无解的难题。DAOrayaki社区一直一来关注DAO的治理难题,我们发现,整个行业开始注重科学治理或者关注于更加具体的治理问题。可以通过查看daorayaki.org以往文章,了解加密治理中的治理攻击和解决方案。本篇文章我们将会沿着加密治理原则继续思考,如何重建DAO的治理溢价。
本周早些时候,刚从 MakerDAO 令人沮丧的治理斗争中解脱出的 Luca Prosperi 在其最近的博客文章“加密治理的第一原则”中提出了治理三难困境。他认为,基本上,今天的加密协议最多可以实现其中两个目标:
A) 去中心化
b) 解决复杂问题
c) 对善意行为的激励
DeFi 协议最初是用作对小型社区所遇到的简单问题的处理。随着社区不断规模化的发展,它所面临的问题变得越发复杂,必须需要越来越多的更专业化的知识才能解决。
随着社区的快速发展,创始人的智慧迅速向加密均值方向稀释,他们面临的问题的复杂性也在迅速加速。同时, 复杂性与平均能力的比率开始出现死亡螺旋
不对称的激励会滋生不良行为。面对行业里越来越大的回报,从事善意行为的专家越来越少,而从事恶意行为的专家则越来越多。尽管许多专家出于对长期声誉利益的考虑或利他主义而忽略了不良激励,但协议专家不可避免地会参与到“恶意行为”中(参与价值破坏),这意味着该价值的很大一部分可以被恶意行为者收入囊中。
在大型加密社区中,“不良行为”的发生是独特且具有灾难性的。金钱的软件化、社区信心的丧失以及对不良行为者缺乏问责制导致大型加密社区在面对复杂、不断升级的问题时会以“光速“解体。
《加密治理第一原则》全文查看文末。但请注意,这不意味着就只剩下悲观情绪和无解的难题
在“专注做一件事并且把这件事做得很好的”这方面,简单协议的作用经受住了在 TradFi 的波动性。(Curve 的稳定币交易市场,或 Aave/Compound 超额抵押货币市场)
然而,面对更加复杂的问题,治理往往会崩溃,从而激发出创始人和其他具有丰富不对称知识的人的极端恶意行为。例如:Do Kwon 从 Terra 协议中提取了数十亿美元,Rune Christensen 试图通过由 Rune 和亲信控制的关联方 Monetalis 从 DAI 协议中提取 5 亿美元。在前一种情况下,它将会以灾难性的方式结束(这种灾难性程度可能比 Kwon 本人预期的还要严重得多)。而在后一种情况下,因为Luca Prosperi 和其他一些才华横溢的人的“集中”警惕,使得 MKR 持有者免于潜在的数千万美元债务减记以及 99% 以上协议都可能发生的命运:失去信心的死亡螺旋导致协议的清算或消除。
TradFi 股票的面值远低于加密代币持有者所获得的治理价值。
以谷歌为例。谷歌股东所拥有的每一张股票,它的价值……究竟是什么呢?
拥有 GOOGL 的股份并不意味着有权从 Google 获得任何现金流或股息。因为没有任何治理权(拉里·佩奇和谢尔盖·布林通过特殊的创始人股份拥有多数控制权)。如果布林和佩奇花费数十亿美元进行高价收购或与基础业务关系最短暂的任何其他事情,你就没有任何追索权。
GOOGL 份额本质上是一种 NFT,说明谷歌管理层将负责任地使用你的钱,也许在未来的某个时候会从他们的现金机器中转移一些收入回来给你。尽管你对任何相关资产或现金流的权利充其量是微不足道的,但GOOGL的股票确价值1.5万亿美元的市值。这是为什么?
类似的观点也可以用于美国存托凭证(ADR)。ADR 是本国股东对敌对国家公司收益的索赔,海外投资者对这些 ADR 非常看重。这又是为什么?
以GOOGL为例,员工的报酬是 GOOGL 股票。Brin、Page 和高级管理人员也被授予 GOOGL 股票期权。外部投资者知道佩奇和布林需要让他们的员工乐于经营一家成功的企业。他们还可能认为,如果布林和佩奇做出特别令人发指的事情,谷歌董事会可能会成为敌对实体,严重削弱创始人管理公司的能力。
以上的情况这在今天的 DAO 中是不存在的——所有主要利益相关者之间的激励一致。GOOGL 的利益相关者(股东、高级管理人员和员工)都通过 NFT 保持一致,并通过一个从未与谷歌管理层抗衡过的董事会进行保护。
在 99% 的 DAO 中,利益相关者的利益一致性通常会在初始高速增长阶段后消失。协议爆炸式增长,代币被慷慨地授予创始成员,许多创始人转向其他事情。其余的创始人很快发现他们正在为许多缺席的代币持有者工作。
在少数 DAO 中,关键生产者已经离开,简单性可以挽救局面。Curve 从未将其著名的“xyk”流动性模型的不同参数提交投票。它只是在是/否投票中提出了一个复杂的想法,该模型在无数边缘情况下工作,并且 一直保持着Curve DAO 最初的样子。随着其他稳定币市场的来来去去,Curve 蓬勃发展,直到今天仍然是稳定币市场的王者。
在另一个极少数的 DAO 中,集中式/个人制衡使协议免受中心故障点与“创始人级”自重(Maker)合谋所利用的集中式缺陷的影响。然而,根据定义,“白骑士”太稀有而无法依赖。
在绝大多数 DAO 中,因为制衡失败,创始人终将会在某个时刻抛弃持有者,员工要么继续,要么自己作为持有者离开,当所有关键生产者都离开,协议必然死亡。
所以紧迫的问题变成了:99% 失败的 DAO 的创始人只是坏人吗?还是激励结构中的激励偏移导致他们放弃了他们的 DAO?
我强烈怀疑是后者。大多数 DAO 不是工作量证明组织,它们会迅速积累自重——“贡献者”为代币分配贡献了最低限度。远程工作组织很难监管这种自重。而当“自重“做为一个严重的问题被注意到时,,已为时已晚。
在经历了一段高速增长之后,主要生产者环顾四周,意识到他们的工作正受到更多弱贡献者的嘲笑。他们的利他主义资本主义令人鄙视,激励措施不再与社区一致。这是加速内部破坏开始的地方。
这个问题可能会因社区规模化增长的放缓而得到缓解,这让所有关键利益相关者有更多时间去重新评估其他关键利益相关者的贡献节奏,重振他们对系统基本公平性的信心,并继续努力。然而,加密和缓慢的增长永远不会很好地结合在一起。
当您比较公司和 DAO 时,公司层次结构在组织各个级别执行持续贡献节奏方面相当有效 - 利益相关者激励协调的另一个关键示例。
DAO 未能实现这一目标。恐怕 DAO 发展的下一个阶段将是一条公司化之路:更多的 HR 软件,更多的 github 提交日志记录和管理的故事,所有这些都以更有效的管理为名。加密货币的少数一致生产者也是如此,以便使利益相关者的激励进一步朝着为所有代币持有者创造可持续价值的方向发展。
加密治理第一原理全文
上月Dirt Roads讨论了MakerDAO最近的治理周期。报告结尾处提出了三个开放性问题:
基于现有的治理机制和代币分配,我们是否相信Maker的审查阻力?
当一群协调一致的群体拥有足够的投票权来推翻这么多机构参与者时,我们是否相信Maker是一个真正的去中心化组织?
我们是否认为Maker的结构能够有效地处理那些带来最低程度的复杂性和不透明性的用例(和借款人)?
这三个问题可以归纳为一个:加密协议的主流治理框架能够在处理复杂任务的同时激励慈善行为?这个问题的答案,我认为是不可以。
在Maker的案例中,就像许多其他加密项目一样,治理任务被统一分配给治理代币($MKR)的持有者。更普遍的是,$MKR的持有者可以对协议的变化进行投票——任何人都可以提交提案。这些提案将按照简化后的流程进行表决。

有趣的是,Maker治理框架的架构师意识到了恶意治理攻击的风险,为了抵御这种攻击,他们构建了一个治理安全模型,该模型具有延迟特定提案实施的功能。这允许$MKR持有者收集足够的共识来呼吁紧急关闭,有序地解除协议本身危机。
由Aragon和 Optimism开创的Optimistic Governance school通过假设所有提案都被投票通过,除非在一定时间内在法庭上受到质疑,从而引导了这一概念。这些努力值得称赞,在每个决策的结果都显而易见、事先可衡量或具有即时影响的环境中仍然有效。随着DAO的野心不断扩大,超越了固化和明确定义的界限,并朝着通过复杂结构来提升现实世界信用等复杂任务扩展,很明显,即使是一个 Optimism的挑战窗口也不足以抵御恶意攻击。
不可还原性问题→最初,大多数链上治理不得不面对非常简单的决定:是否将ERC-20代币列入白名单、增加或减少参数、激活或停用oracle feed。治理机制的发展满足了这一需求,区块链技术允许更细化的任务分离。但野心是人类的特质,协议逐渐扩展到复杂的用例,而不是原子决策的有序集合:我们是否应该开始为现实世界的信贷融资,我们的资金管理策略应该有多积极,我们应该如何抵消我们的流动性质押服务对原生链稳定性的影响,我们在复杂的DeFi堆栈中扮演什么角色,等等。这种扩展造成了工程师可能还不能完全理解的不可还原性问题。在为决策目的对每一个可能的案例进行建模时,结构上讲不可能保持扩展。我们需要学会与会产生无法预期影响的极端情况共存。不可还原性的影响可能是灾难性的。
两种可能的解决方案→现有的解决方案有两个方向:(i)使治理机制更适合于处理无法衡量的不确定性和利益冲突,以及(ii)通过任务和责任的原子化减少不确定性。虽然从长远来看,第二种方式(分解、简化、固化)是我们应该追求的目标,但不确定性无法从根本上消除,因此开发更能抵御不确定性的决策框架是我们无法回避的。
这篇文章的其余部分将致力于对问题进行初步的形式化讨论。当事情变得复杂时,开发一个简化的现实版本是有价值的。我们的想法是利用这样的框架来了解发挥作用的关键因素,并试图设计一种机制,在鼓励良性影响的同时减轻恶性影响。
John Von Neumann和Oskar Morgenstern开创的以数学严谨性为现代经济学基础的博弈论与经济行为理论已被加密领域滥用。这些游戏不是博弈理论,而是荒谬的数学。下面描述的方程组旨在提供正在发生的事情,而不是解决方案所需的符号工具。
首先构建了一个Optimistic Governance Game(OGG)。在OGG中,所有参与协议治理的人都是好人,他们打算使协议本身产生的经济价值最大化——这是一个重要的规范。在这个简化的游戏配置中,我们假设参与者/投票者收到了来自外部的提案,并且能够基于任意治理机制(即投票函数)来通过或否决它。

▵ 提案i的投票函数V输入了N名参与者的所有投票向量。在OGG中,我们可以假设每个参与者都有一票。投票函数的输出为0 (ding)或1 (pass)。
只有两种提案方式:善意的提案和恶意的提案。善意的提案对所有投票者都有积极的影响,因此对协议也有积极的影响,而恶意的提案则给提案者带来巨大的利益(位于投票者集合之外),但代价是协议有可能被破坏。
协议被破坏的预期成本取决于指定的概率函数和每个投票人给协议的值V。为了简单起见,我们可以假设所有善意的提案都有相同的回报,所有的选民都给协议赋予了相同的价值——而且这种价值远远高于单个通过的提案的潜在价值。由于所有投票者都有类似的偏好,并且他们是治理集合之外的倡议者,我们可以从协议的角度概括上述函数。

不出所料,我们不能提前说一个提案是善意的还是恶意的。我们需要考虑概率。我们可以重写一个广义提案的预期回报函数,如下所示。

恶意提案的恶性影响只有在不确定的时间延迟后才会显现出来。换句话说,如果到OGG结束时,即到时间T时,协议仍然完好无损,最好的猜测是,治理没有通过恶意提案。
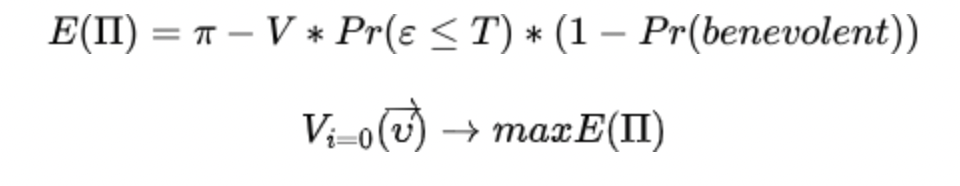
最后,该协议(即所有投票者的总和)在面对投票赞成或反对广义的第一个提案时,旨在最大化下面的预期价值函数。考虑到投票者在理论上可能被赋予非常不同的目标函数,该目标是OGG的一个假设。

▵ 协议被破坏的概率等于在OGG结束前出现恶性结果的概率

鉴于OGG的结构非常简单,大多数结果都是微不足道的。然而,它们值得反思:
倡议者有动力去做大——由于协议被破坏对协议来说是毁灭性的,倡议者有动力向投票者提出也能带来高即时利益的提案
人们的主要动机是让自己看起来很好→更高的(可感知的)善意密度简化了选民的决策
非流动性有溢价→延迟的提案,或结果迟来的更好的提案更容易被决策过程消化
价值最大化不是生存最大化→预期价值最大化的策略可能会导致与协议生存最大化不同的最优决策集
现实,尤其是DAO的现实,比我们的OGG要复杂得多。为了便于讨论,我想重点谈谈几个关键的区别:
投票者也可以是倡议者无:论是善意的还是恶意的提案,投票者和倡议者之间都有部分重叠,因此我们将使用参与者一词,其中包括投票者和倡议者。
恶意提案对其倡议者非常有利:恶意提案的私人(非共同)利益可能会大大超过协议被破坏对其倡议者的私人影响
私人和协议的视角不同:由于多样化和投资期的不匹配,单个投票者/倡议者的私人回报函数与整个协议的回报函数有很大不同
在现实治理游戏(RGG)中,我们可以将目标函数重写如下(现在区分了好的和坏的倡议者)。我们假设无论是提案还是投票都没有任何成本。
良好的参与者:一个善意的倡议者,其目标函数与OGG情况下的广义目标函数大体相似。

然而,正如我们已经暗示的那样,鉴于:(i) RGG中单个参与者的投资期很可能与协议不同——即单个参与者可能仍然会出售其投票权并离开;(ii)考虑到损害分摊和投资组合多样化,RGG中单个参与者的损害很可能不严重。这些差异有助于提高良好参与者的风险承受能力;参与者有动力“碰碰运气”,提出对协议而言具有不可忽视的危险性的提议。
糟糕的参与者:然而,糟糕的参与者的情况更有趣。一个糟糕的参与者是指有意识地提出一个恶意提案,享受这种提案带来的私人利益,并有意识地投票赞成它。

▵ 一个糟糕的行为者不仅从私人征用中获益,而且从他对提案风险的详尽了解中获益–在这种情况下,这是通过将误差项ε从基本期望值β中分离出来来描述的(有充分的理由认为β为0)
对于一个糟糕的参与者来说,偏离的动机要高得多:(i)只有潜在损失(而不是特别收益)会被共同承担,(ii)由于恶性结果的能见度更高,损失可以更容易地避免。糟糕的参与者有巨大的动机提出恶意的提议,并游说良好的参与者,以最大限度地减少对协议损害的感知。换句话说,每个人都有巨大的动机去偏离并变成糟糕的参与者。

▵ 我们可以将公式简化为0。误差项ε超过阈值的概率可以是任意小的,这取决于参与者的风险厌恶程度
在这个简化的表示中,偏离的动机与以下因素正相关:
可征用性→私人偏离利益的相对大小
互惠化→社区规模,或参与者总数
不确定性→感知到遇到恶意提议的风险
紧迫性→出现恶性影响的概率
风险厌恶→令人惊讶的是,风险规避动机引出了一个坏的参与者
然而,系统不是不可变的。这意味着,更多的恶意行为者将被庞大而不确定的社区所吸引。这可能会给没有适当制衡的社区造成死亡螺旋。
OGG和RGG都是极其简化的怪诞数学。尽管如此,它们仍是一个良好的开端,可以迫使我们在设计协调机制时进行审视,并超越修辞的个性化。
包括Maker在内的一些协议仍然忠于“无结构暴政”——h/t @Dermot_Oryordan,这是对纯粹主义方法的辩护,在这种方法中,利益中心(代币持有者、借款人、$DAI持有者、核心单位成员、代表、少数群体、协议)的正规化由于去中心化的利益而遭到抵制。但是,正如Jo Freeman在她的文章中所提:
“与我们想要相信的相反,不存在无结构的群体。任何一群人,无论其性质如何,在任何时间内为了任何目的走到一起,都不可避免地会以某种方式构建自身。[…]
这意味着,努力建立一个无结构的群体,与目标是“客观的”新故事、“无价值的”社会科学或一个“自由的”经济一样有用,也一样具有欺骗性。这种想法成为了一个烟幕,让强者或幸运者对他人建立无可置疑的霸权。”
加密货币也有治理的好例子。6月10日,@skozin在Lido的论坛上发表了一份提议,为流动性质押协议建立LDO stETH双重治理机制。在认识到代理问题的存在后,投票者($LDO持有人)并不是遭受破坏的人——主要是质押者,倡议者提出了一系列与我们在上述RGG中概述的框架一致的想法:
通过固化减少治理范围→减少不确定性
将已表决的提案延迟执行→减少紧迫性
为$stETH引入否决/反否决制度→更少的互惠化
实施(部分)恶性资源燃烧→减少可征用性
该提议明确承认,不可能事先确定所有潜在的攻击媒介或极端情况,并转而采用一种基于第一原则的方法,这种方法在承认存在利益冲突的同时,会引发对抗性(且代价高昂)的治理辩论。我建议任何参与设计治理原则的人都要彻底地审阅该提案。这是一个值得象征性表示的东西。
双重治理体系并不是唯一可行的路径。值得一提的是,需要更深入分析的是Pocket Network的stake-to-work机制、DXDdao基于声誉的投票、声誉和参与的衰减机制,以及以太坊的EIP-5114灵魂绑定。不确定性密集型环境的治理机制的研究和设计空间与相关领域一样广阔和迷人。我们确实不能在人类互动的脆弱基础层之上构建任何复杂的东西。