Time:2023-03-11 Click:198
原文作者:Kristof Lommers
原文翻译:[email protected]
原文标题:A Framework for DAO Token Valuation
在本文中,我们将讨论去中心化自治组织 (DAO) 的估值框架。尽管本文基于公司金融的理论,但引入了 DAO 原生估值概念。估值框架将使社区能够衡量 DAO 在为代币利益相关者创造价值方面的表现,并有助于对 DAO 背后的开发团队引入更多责任。应该指出的是,拟议的 DAO 估值框架是初步的,因为我们只是在了解 DAO 的特性以及市场参与者如何对它们进行估值。
许多协议都采用双重公司-DAO 结构,其中公司充当 DAO 底层协议的开发商和运营商。本文重点介绍 DAO 代币的估值,与 DAO 背后的开发商相比,它代表了一个独立的估值框架。我们认为 DAO 代币估值主要可以通过两种方式进行,即基本估值法和可比分析法。在基本面估值方法中,我们尝试根据基本面对 DAO 代币进行估值,而在可比方法中,我们尝试根据各种指标比较 DAO 代币。最后,我们讨论了在估值过程中可能考虑的各种代币特定考虑因素。
首先,我们需要正确定义我们的定价。在本文中,我们将 DAO 视为(准)在智能合约上自主运行并由利益相关者社区管理的组织。许多协议都存在双重公司-DAO 结构,其中公司充当 DAO 委托的底层协议的实际开发商和运营商。协议背后的公司往往在 DAO 之前创建,并保持相关 IP 和资产的所有权。例如,Uniswap 可以被视为具有治理代币(UNI)的 DAO,其中开发由 Uniswap Labs 公司处理。本文重点介绍 DAO 代币的估值,与用于 DAO 背后的开发公司股权的估值框架相比,它代表了一个独立的估值框架。
Web3 将代币经济学用于利益相关者和代币激励的目的,以创建适当的去中心化和激励调整。代币也被用作冷启动问题的部分解决方案,其中代币激励用于引导用户并奖励适当的用户行为。从根本上说,代币的价值通过社区成员身份、代币在生态系统中的效用以及附带的治理权来体现。DAO 创造的价值通常不是为了在代币持有者之间分配所产生的价值,而是为了提供效用和治理参与。在不涉及证券的法律辩论的情况下——因为这个讨论远未解决——DAO 一直小心翼翼地不直接向代币持有者分配价值,因为这可能会导致代币被归类为证券。DAO 创造的价值可以通过各种渠道间接流向代币持有者——例如,人们可以重视 staking 的价值、社区的利益、成员资格和 DAO(部分)的总体增长。根据具体情况,人们还可以像某些协议所做的那样,将直接价值分配纳入代币持有者。
首先,没有一个放之四海而皆准的估值方法,一个 DAO 可以涵盖许多不同的概念。例如,Hennekes ( 2022) 将 DAO 分为八类:协议 DAO、赠款 DAO、慈善 DAO、社交 DAO、收藏 DAO、风险 DAO、媒体 DAO 和子 DAO。
Friend With Benefits DAO 是一项基于社区的努力,它的很多价值都来自社会资本,而 Orange DAO 是一项集体风险投资努力。因此,每个 DAO 都需要一种特定于其类别的估值方法,并且不同因素的重要性将根据 DAO 类别而有所不同。然而,我们可以提供一个通用框架来考虑估值,如果进行适当的特定类别调整,该估值可以大致应用于不同的 DAO。
我们认为 DAO 代币估值主要可以通过两种方式进行,即根据基本估值方法或可比分析方法。在基本面估值方法中,人们试图根据与持有代币的效用和预期代币价值增长相关的基本面来评估 DAO 代币。在投资比较方法中,人们尝试根据各种指标比较 DAO 代币。顾名思义,基本估值方法更符合尝试根据基本面给代币定价,而可比分析方法是一种更符合市场的估值方法,试图从市场推断估值可比较的 DAO。
可以通过以下方式考虑 DAO 代币的基本面估值模型

估值既是一门艺术又是一门科学,许多子组件需要酌情估计和假设。在下文中,我们将讨论在 DAO 代币的基本面估值中发挥作用的各种子组件。
贴现率可以通过加权平均资本成本(WACC)来估算,加权平均资本成本是根据其资金来源的加权平均贴现率计算得出的。这些资金来源可以包括债务或股权(代币)。更具体地说,WACC 计算如下:

其中 D 代表 DAO 的债务价值,T 代表 DAO 代币的总价值。
对于债务成本,我们应该简单地采用债务收取利率的价值加权平均值。然而,在大多数情况下,DAO 资金结构中没有杠杆作用,这意味着 WACC 基本上等于代币资本成本。
我们可以通过计算 DAO 原生因素模型框架内的预期回报来估算代币资本的成本。文献(例如,Liu 和 Tsyvinski, 2021 )表明,加密货币市场是一个独立的资产类别,具有自己的特殊走势,并且与其他宏观资产类别的相关性有限。然而,与股票的相关性相对较强且不断增加,更具体地说,是与科技股票市场。特别是 DAO 代币,这些代币可以被视为 Web3 组织中的利益相关者。我们可以借用股票资产定价的概念,但是,考虑到该资产类别的特性,将需要一种 DAO 原生模型方法。因子模型已经在股票市场中流行,用于估计预期收益和估计贴现率。
先前的研究表明,三因素模型捕获了加密货币系统性回报的很大一部分。正如 Botte 和 Nigro ( 2021) 的主成分分析所示,前三个因素占据了大约 70% 的联动性,这与股票的三因素模型大致一致。我们已经看到加密市场发生了变化,从与比特币密切相关的代币回报到越来越多地与比特币脱钩的代币。因此,在加密市场中存在更多特殊的风险回报, DAO 代币与 DAO 代币市场部分的相关性更高,在中长期内与加密市场的相关性通常较低。
对于具有足够历史记录的交易 DAO 代币,我们可以使用因子模型估算预期回报。在没有交易代币(或数据点太少)的情况下,我们可以使用一组可比较的 DAO 代币并校正相关因素,例如规模和流动性不足。因子模型分两步构建:首先构建因子回报,然后执行 DAO 代币对因子回报的回归。因子回报被估计为多空投资组合的回报,这些投资组合每月重新平衡并在价值加权的基础上计算。然而,Jiasun Li 和 Guanxi Yi ( 2020) 发现加密货币中的多头因素具有更大的意义。多头的更大意义可能是由于加密货币做空的成本相对较高,这会产生较小的下行压力。因子研究中的标准做法是对投资组合进行价值加权,但是,在加密货币中,某些代币在市值方面往往存在很大的主导地位,这将使价值加权结构偏向少数代币。因此,我们建议使用对数价值加权方案来确认顶级代币的市值,但不要将投资组合过度偏向少数选定的代币。此外,应根据没有幸存者偏差且包括失败的 DAO 项目的数据来估计因素。
我们建议使用 DAO 市场、生态系统、规模、价值、流动性和动量作为 DAO 因子模型中的因子。这代表了传统的 5 因素模型与区块链生态系统因素相辅相成。市场因素捕捉广泛的加密市场风险,并计算为 DAO 代币领域的平均回报。应该强调的是,我们专门使用 DAO 市场而不是一般的加密市场。生态系统因素捕获与 DAO 所基于的 L1 生态系统代币(例如,以太坊、Solana、Avalanche)的系统相关性。DAO 代币从根本上与其存在的生态系统相关联。例如,以太坊上的 DAO 依赖以太坊网络来执行智能合约,并将在 ERC-20 框架内拥有代币。该生态系统因子计算为相对于 L1 生态系统代币(例如,ETH、SOL、AVAX)的超额回报。规模因子捕获规模风险,并计算为多头小型 DAO 代币而空头大型 DAO 代币的投资组合的回报。传统意义上的价值因素在 DAOs 中很难定义。可以根据本文比较部分讨论的一些指标构建价值因素,因为这些指标代表基于财务和业务变量的价值衡量标准。流动性因素捕获流动性风险,并计算为多头低流动性 DAO 代币而空头高流动性 DAO 代币的投资组合的回报。可以使用各种流动性度量,例如交易量、买卖价差或 Amihud 流动性不足度量。最后,动量因子捕捉动量或趋势敞口,计算为做多表现最好的 DAO 代币而做空表现最差的 DAO 代币的投资组合的回报。
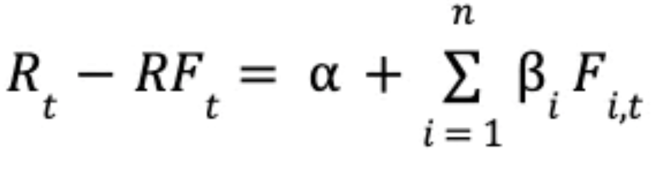
最后,DAO 代币对因子回报的回归按照以下公式定义

其中 Rt 代表 DAO 代币收益,RFt 代表无风险利率或融资利率收益,代表 DAO 代币的 alpha 收益,i 代表 DAO 代币对因子 i 的敞口,Fi, t 代表因子 i 的收益。“无风险”融资利率反映了流动性成本。例如,以太坊生态系统中的流动性是通过 ETH 处理的,其中 ETH 的质押回报可被视为基本资金利率。估计的 beta 系数可用于计算适当的预期回报和贴现率。
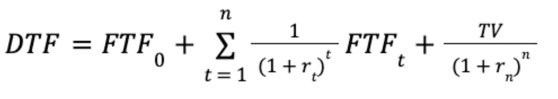
最普遍的基本估值模型之一是贴现现金流 (DCF) 模型,该模型基于实体未来(自由)现金流的贴现估值。使用类似的思路,人们可以想到可以计算 DAO 的自由现金流的贴现代币流。DCF 模型使用三个主要组成部分:现金流量、贴现率和对未来预期现金流量(增长)的假设。在 DAO 的情况下,我们可以引入术语自由代币流量 (FTF),它由 DAO 产生的真实代币流动性组成,可以使用净收入、资产折旧、工作代币流动性变化和系统代币支出来计算。更具体地说,自由代币流可以计算为:

净收入、资产折旧、工作代币流动性和资本支出可以在传统会计和企业融资实践中定义。应该指出的是,DAO 会计领域还很年轻——cfr。Lommers、Ghanchi、Ngo、Song 和 Xu ( 2022) 讨论了 DAO 会计——以及基于加密会计和 DAO 的特性可以争论各种方法调整。
折扣令牌流量(DTF)可以计算为

其中 FTFt 代表 t 年的自由代币流,rt 代表 t 年的贴现因子,TV 代表终值。
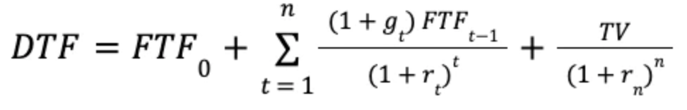
人们还可以假设 DAO 将随着其细分市场的增长而增长,并使用该增长率来估计未来的自由代币流量。麦肯锡 (McKinsey) 最近的一份报告 ( 2016) 支持贴现现金流模型对科技初创企业估值的价值。他们建议分析初创公司所针对的细分市场的预期长期发展,并以此为基础进行倒推。DTF 计算变为

其中 FTFt 代表 t 年自由代币流,rt 代表 t 年贴现率,gt 代表 t 年增长率,TV 代表终值。模型中的一个主要假设将包括未来增长率,但这可以通过情景分析来处理(例如增长率的持续、增长率减半、增长率翻倍等)。
这种代币流可以直接或间接地增加给代币持有者。例如回购和销毁机制。扩大代币持有者的价值,直接分配等。
DAO 中的代币所有权可以带来各种好处,如成为社区的一部分,某些成员权利,治理权利等。如前所述,DAO 中没有一刀切的做法,各种 DAO 可以通过 DAO 目前启用的一系列可用选项提供不同的好处。例如,大多数 DAO 的一个好处是由社区成员组成的。正如 Agarwal( 2021 )所认为的,社区本身就很有价值,因为它们允许建立基于社区的合作倡议,利用共同的资源,分享知识和技能,等等。治理权是持有 DAO 代币的另一个常见好处,反映了社区参与决策的程度。为了衡量治理质量,Regner( 2022 )提出了各种措施,如提案数量、提案门槛、提案接受度、投票参与度等。最近社区内一直在讨论治理权是否对代币价值有影响--例如,Buterin( 2022 )认为治理权不应该对代币价值有影响--。我们认为,这可以根据具体情况来决定:价值是否分配给代币持有人,社区对 DAO 运营的参与程度,等等。
最近社区内部讨论治理权是否会影响代币价值——例如,Buterin ( 2022) 认为治理权不应该对代币价值产生影响。我们认为这可以根据具体情况来决定:是否将价值分配给代币持有者,社区参与 DAO 运营的程度等。
应该注意的是,DAO 的收益可能因代币持有量而异。例如,Mnema DAO 根据持有的代币数量将提供的利益划分为不同层次,最高层次相对于最低层次更有价值。此外,作为大股东在治理方面具有一定的战略优势,这可以说类似于传统公司金融中的控制权溢价。此外,每个代币持有者对 DAO 收益的估值可能不同,因此在这个估值过程中有一个自由裁量权因素。然而,人们可以尝试估计所提供收益的近似平均值,这可能是未来研究的一种途径。
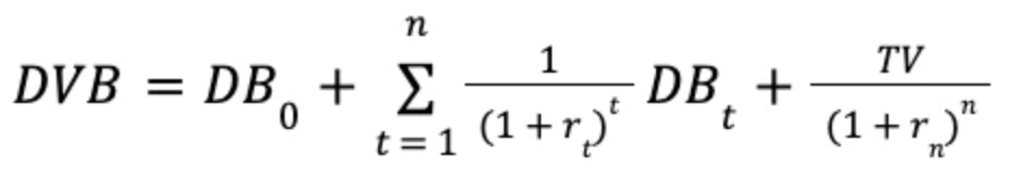
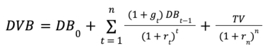
最后,收益贴现值 (DVB) 可以计算为

其中 DBt 代表 DAO 在 t 年收益的价值,rt 代表 t 年贴现因子,TV 代表 DAO 在 t 年后收益的终值。
还可以假设 DAO 的收益会随着细分市场的增长而增长,并使用这一增长率来估计未来的收益。在这种情况下,DVB 计算变为

其中 DBt 代表 t 年收益值,rt 代表 t 年贴现率,gt 代表 t 年增长率,TV 代表收益终值。模型中的一个主要假设包括未来增长率,但这可以通过情景分析来处理(例如增长率的延续、增长率减半、增长率翻倍等)。
大多数具有原生代币的 Web3 项目都允许为区块链共识生成、代币经济学激励或协议开发提供代币质押,这些质押者可以获得代币奖励(Cong、He 和 Tang, 2022 年)。在财务方面,可以将此视为通过锁定资本一定时间来产生被动收入。因此,可以计算出按适当贴现率贴现的预期质押奖励。如前所述,ETH 抵押收益率可以被视为以太坊生态系统内的流动性成本。因此,有人可能会争辩说,以太坊生态系统中代币的流动性成本等于 ETH 质押收益率加上额外的风险溢价。质押的风险主要包括代币被锁定一段时间后所失去的灵活性:原生代币的价格波动、项目失败以及潜在的平台黑客攻击(Royal, 2022 )。需要注意的是,为了激励早期用户,staking 收益在早期阶段可能会比较高。在这些情况下,质押收益率可能明显高于风险调整后的流动性成本。
假设 DAO 代币的价值与 DAO 的价值相关联,我们可以使用各种相关指标的可比对象将 DAO 评估为一个实体。可比分析使用比率或指标来确定估值估计。更重要的是,它使用基于类似竞争对手的估值,因此是一种更符合市场的估值方法。比较分析利用基本会计和商业信息来计算与盈利能力、财务状况、用户吸引力等相关的关键指标。我们认为需要开发 DAO 原生指标来评估这种新范式中的组织。
可比较的 DAO 可以根据类别和规模来定义。如果就正确的规模和类别而言,没有可比较的 DAO 可用,则需要找到最接近的可比较对象。如果在类别中发现可比较的 DAO 但大小差异很大,则可以估计大小修正。例如,可以估计类别内大型和小型 DAO 之间的平均估值差异并将其用作估值修正。如果可能的话,应该尝试选择不同的竞争对手并计算一个估值范围。
标准的可比性包括收入、利润、EBITDA 和利润率等指标。有许多流行的指标用于Web2公司,其中一些最重要的指标包括每月独立访客、跳出率、平均订单价值、活跃用户数、客户转换率、流失率、每访客成本和病毒系数(企业金融研究所, 2022 )。这些指标可以用来比较公司,从而根据这些指标对其进行相对估值。为了构建相关的可比性,必须将 DAO 与传统(Web2)科技公司区分开来。
正如 Hsu ( 2022) 所说,Web2 中的估值倾向于关注客户获取和用户活动。我们想争辩说,DAO(以及更广泛的 Web3)中的相关因素包括去中心化程度、社区参与、协议用户、协议开发活动、与其他协议的集成、区块链生态系统指标和协议收入。因此,我们可以为 Web3 估值建议以下指标:独特的协议用户和代币持有者、收取的协议费用、代币持有者参与治理、协议交易量、代币交易量和速度、社区互动(例如,Discord)、 财务支出和增长、协议生态系统增长、代币激励方面的用户获取成本(例如,吸血鬼攻击)和用户净现值(例如,以代币形式收到的价值 - 提供的价值)。此列表绝不是全面的,我们希望鼓励社区帮助扩展此相关 Web3 指标列表。
最好通过查看可能特定于 DAO 类型的不同度量来执行可比估值。例如,与社交 DAO 相比,构造为 DAO 的 DeFi 协议需要不同的指标。总价值锁定(TVL)被认为是人们在分析 DeFi 协议时关注的核心指标之一。例如,Maker DAO( 2021 )提出了未偿付风险资产总额、利息收入相关性、净利息收入、未偿付 DAI 总额、DAI 市场份额、DAI 链上交易量、利息收入总额和开设的金库。可以比较 DAO 相对高估/低估的各个维度,并根据相关维度的相对重要性进行加权平均。
由于代币价格是代币供求平衡的结果,因此考虑代币供应动态非常重要。因此,可持续和健全的代币经济学成为代币估值活动的一部分。协议代币经济学的组成方式应促进和最佳地激励生产价值的产生。由于大多数流通的加密货币代表效用代币,有人可能会争辩说代币价值应该代表持有代币的效用并描述协议生态系统提供的效用。从根本上说,可持续的代币经济学设计将促进代币价值与生态系统效用之间更紧密的联系。在比较 DAO 代币时,应该针对未来的代币供应进行校正,以便进行适当的逐一比较。例如,与固定代币供应相比,“开放”代币供应给未来估值带来更多不确定性。
此外,正如 Samani ( 2017) 所论证的那样。在对代币进行估值时,务必要考虑代币流通速度。生态系统的增长并不一定意味着价格上涨,因为没有动力持有代币的高速代币价格升值较少。Samani( 2017 年)提出了一些协议可以降低速度的方法,例如引入利润分享机制、建立质押功能、平衡销毁和铸币机制以及激励持有的游戏化。
大多数 DAO 代币都在去中心化交易所上市,因为在中心化交易所上市可能是一个漫长而昂贵的过程。特别是对于非蓝筹代币,流动性可能很低,交易对价格的影响很大。这对基于异常交易活动的价格波动构成了重大风险。例如,如果大宗持有人出售他们的头寸,这可能会对代币价格产生重大的负面影响。与此论点相关的是代币的分配,其中大块持有者的情况可以被认为会带来重大风险。然而,在这个练习中,应该对协议库中持有的代币、交易池合约中的代币等进行抽象,因为这些往往更具粘性或为了特定目的(例如,代币做市)而汇集在一起。此外,早期投资者和开发团队往往有一个在特定时间段内无法出售代币的归属时间表。归属时间表已被证明是代币价格变动的一致信号,因为投资者倾向于抓住机会获利了结。因此,估值应考虑代币归属时间线,这可能会在短期内造成价格大幅下行压力。此外,财政部的流动性也很重要。正如 Regner ( 2022) 所论证的那样,DAO 倾向于在国库中持有大量分配的自己的代币。对于资金业务,流动性很重要。如果其他代币没有流动性,财政部将需要出售自己的代币,从而造成价格下行压力。特别是在流动性相对较弱的中小型 DAO 代币的情况下,国库代币销售可能会对价格产生很大影响。
最后一点,我们想强调为代币持有者社区提供价值和参与的重要性。在不提及具体名称的情况下,一些领先项目的大量实用程序或治理代币表现不佳。这主要是因为他们未能为其代币持有者提供增值服务。这又回到了 DAO 和企业之间的讨论,更重要的是两者之间的激励失调。如前所述,在许多协议中,协议背后的公司往往在 DAO 之前创建,并保持相关 IP 和资产的所有权。该协议可以经历强劲的增长,而协议背后的公司在代币停滞不前时经历了估值的急剧上涨。房间里的大象是协议背后的公司所有者(即开发团队和投资者)和代币持有者之间可能存在相对较大的激励失调。然而,正如 Walden (a16z) 所论证的那样,协议可以逐步去中心化,这些协议开始时集中,然后变得更加分散(IP 等被转移到 DAO),这一点可以被考虑在内。